트리 순회
| 2 초 | 128 MB | 29708 | 18921 | 14338 | 65.025% |
문제
이진 트리를 입력받아 전위 순회(preorder traversal), 중위 순회(inorder traversal), 후위 순회(postorder traversal)한 결과를 출력하는 프로그램을 작성하시오.

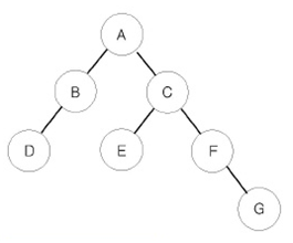
예를 들어 위와 같은 이진 트리가 입력되면,
- 전위 순회한 결과 : ABDCEFG // (루트) (왼쪽 자식) (오른쪽 자식)
- 중위 순회한 결과 : DBAECFG // (왼쪽 자식) (루트) (오른쪽 자식)
- 후위 순회한 결과 : DBEGFCA // (왼쪽 자식) (오른쪽 자식) (루트)
가 된다.
입력
첫째 줄에는 이진 트리의 노드의 개수 N(1 ≤ N ≤ 26)이 주어진다. 둘째 줄부터 N개의 줄에 걸쳐 각 노드와 그의 왼쪽 자식 노드, 오른쪽 자식 노드가 주어진다. 노드의 이름은 A부터 차례대로 알파벳 대문자로 매겨지며, 항상 A가 루트 노드가 된다. 자식 노드가 없는 경우에는 .으로 표현한다.
출력
첫째 줄에 전위 순회, 둘째 줄에 중위 순회, 셋째 줄에 후위 순회한 결과를 출력한다. 각 줄에 N개의 알파벳을 공백 없이 출력하면 된다.

풀이
전위순회(Preorder), 중위 순회(Inorder), 후위 순회(Postorder) 메소드를 만든다.
주의할 점
값이 없는 경우( . )는 어떻게 처리해야하는가?
아스키 코드로 나타내면 .은 46으로 따로 구분할 수 있다.
ArrayList 안에 ArrayList를 집어넣고 빈 값( . )까지 모두 넣어주면 왼쪽 오른쪽 모두를 일단 기록할 수 있다.
ArrayList<Integer> tree = new ArrayList[];
for(int i=0;i<N;i++) {
st = new StringTokenizer(br.readLine());
int node = st.nextToken().charAt(0)-65;
int left = st.nextToken().charAt(0)-65;
int right = st.nextToken().charAt(0)-65; // . 은 46이므로 음수가 된다
tree[node]=new ArrayList<Integer>();
tree[node].add(left); //left 값은 0번째 index 에 들어가고
tree[node].add(right); //right 값은 1번째 index에 들어간다
}
CODE
import java.io.*;
import java.util.*;
public class Main {
static ArrayList<Integer>[] tree;
static void preorder(int n) {
if(n<0) return;
char c = (char) (n+65);
System.out.print(c);
preorder(tree[n].get(0));
preorder(tree[n].get(1));
}
static void inorder(int n) {
if(n<0) return;
char c = (char) (n+65);
inorder(tree[n].get(0));
System.out.print(c);
inorder(tree[n].get(1));
}
static void postorder(int n) {
if(n<0) return;
char c = (char) (n+65);
postorder(tree[n].get(0));
postorder(tree[n].get(1));
System.out.print(c);
}
public static void main(String[] args) throws IOException {
BufferedReader br = new BufferedReader(new InputStreamReader(System.in));
StringTokenizer st;
int N = Integer.parseInt(br.readLine());
tree = new ArrayList[N];
for(int i=0;i<N;i++) {
st = new StringTokenizer(br.readLine());
int node = st.nextToken().charAt(0)-65;
int left = st.nextToken().charAt(0)-65;
int right = st.nextToken().charAt(0)-65; // . 은 46이므로 음수가 된다
tree[node]=new ArrayList<Integer>();
tree[node].add(left); //left 값은 0번째 index 에 들어가고
tree[node].add(right); //right 값은 1번째 index에 들어간다
}
preorder(0);
System.out.println();
inorder(0);
System.out.println();
postorder(0);
}}

'Study > Baekjoon' 카테고리의 다른 글
| [Python] Baekjoon2869: 달팽이는 올라가고 싶다 (0) | 2022.01.20 |
|---|---|
| [Java] Baekjoon5639: 이진 검색 트리 (0) | 2022.01.20 |
| Baekjoon11725: 트리의 부모, 숏코딩 (0) | 2022.01.18 |
| Baekjoon1707: 이분 그래프 (0) | 2022.01.17 |
| Baekjoon2206: 벽 부수고 이동하기 (0) | 2022.01.16 |